
Hotel App
Hotel App is an application project for hotel guests who want to easily and quickly use the offer of the facility in which they stayed. The product allows you to make reservations and purchases without having to leave your room. Until the end of the stay specified in the hotel system, the guest can use the full functionality of the application.
My goal was to create a tool that would encourage the customer to make reservations and purchases through easy accessibility and transparency of categories, and increase sales.
Onboarding
After entering the basic data need to set up an account, such as name, e-mail and password, the application asks the user to scan the QR code generated by the hotel system. This allows to the user links his account.

Searching
The user selects one of the four categories. Then he goes to the selection of the service he is interested in.

Booking
After selecting the service, the user selects the date from the drop-down date picker and the available hours visible on the tiles.

Grid
I used an 8px grid system which is easy to implement.

User scenario
The user of the application is a hotel guest who wants to easily and conveniently make purchases and book services offered by the facility in which he is staying.
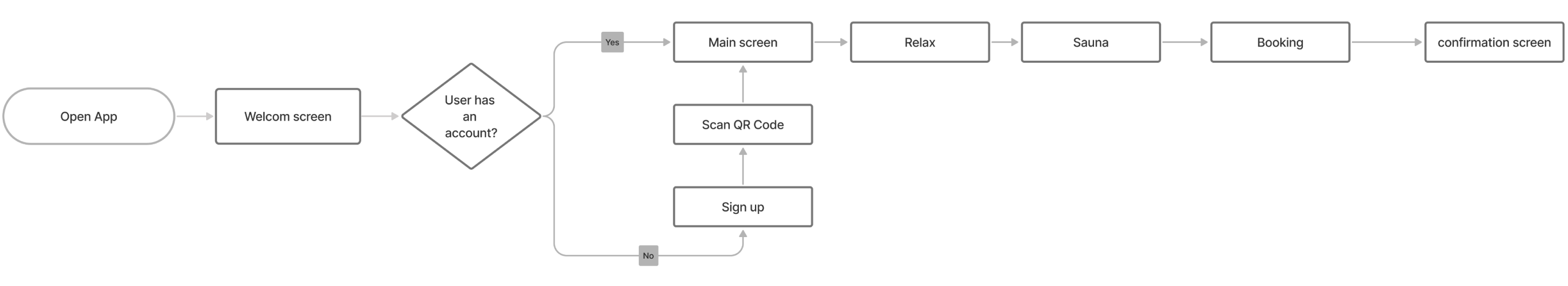
The first step after downloading the application is registration or login. In the analyzed path, the user opens the application and selects the registration option, then he enters the email and password. The data needed for registration is a minimum in order to shorten the process time. In the next step, he confirms his stay by scanning the QR code generated by the hotel system. Using the code, the application identifies the visitor.
After onboarding process, the user has access to purchases and reservations offered by the hotel. He wants to relax after a hard day filled with business meetings, so he chooses the option of booking a sauna. On the home page, he selects the relax category, and then selects a sauna from the hotel offer. In the data picker selects the day and the available time below. After clicking the "Book now" button, his is informed about confirmation his reservation. The reservation can be canceled at any time in the calendar or in the my reservations tab in the profile.
Flowchart

Icons
Project Information
| Type | Date |
|---|---|
| Study | September 2022 |